Current user: Guest
U.S. Puzzle Championship - 2023 Solutions

 

Link to Practice Solutions

 

 

1. Battleships (Moshe Rubin)

Answer: AGAXCCAAAJ

 

2. Tapa (Serkan Yürekli)

Answer: 411,2221,1111

 

3. Bag (Nikoli)

Answer: 141,14,131

 

4. Statue Park (Jamie Hargrove)

Answer: VZZXT,NYWW,FFYPPL

 

5. Block Search (Serkan Yürekli)

Answer: 7,10

 

6. Fillomino (Jamie Hargrove)

Answer: 070,0623746520,051520640,20

 

7. Nurikabe (Jamie Hargrove)

Answer: 41125,1421111,11141

 

8. Yajilin (Nikoli)

Answer: 11412,113121,13213

 

9. Sudoku (Nikoli)

Answer: 683152497,215439876

 

10. Network (Serkan Yürekli)

Answer: USCU,CCSC

 

(click to enlarge some diagrams)


 

11. Masyu (Nikoli)

Answer: 31121,1211111,333,14

 

12. Pentominous (Borders) (Serkan Yürekli)

Answer: IYLIYVZY,LTPVYNVTP

 

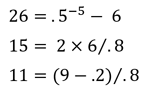
13. Scoreboards (Richard Hess)

13a. Answer: .5^-5-6

13b. Answer: 6*2/.8

13c. Answer: (9-.2)/8

 

14. Aqre (Eric Fox)

Answer: 331,32,32

 

15. Double Kakuro (Invisible) (Grant Fikes)

Answer: 29154,14895,935783

 

16. Minedoku (Myopia) (JinHoo Ahn)

Answer: DEFJ,BHKL,BHJK

 

17. Canal View (David Altizio)

Answer: 415,1112,515

 

18. Pentominous (Skyscrapers) (Grant Fikes)

Answer: IULUYUIUYUPI,FVLWLPZFY,IPYNYNP

 

19. NonSudoku (Serkan Yürekli)

Answer: 695218473,568139742

 

20. Seven Star Fences (Adam R. Wood)

Answer: 132,11111,14